Honda extends PHP 300K discount to CR-V RS e:HEV 2WD until February 28
HCPI announces extension of "Your Best Year Starts Here" campaign this February

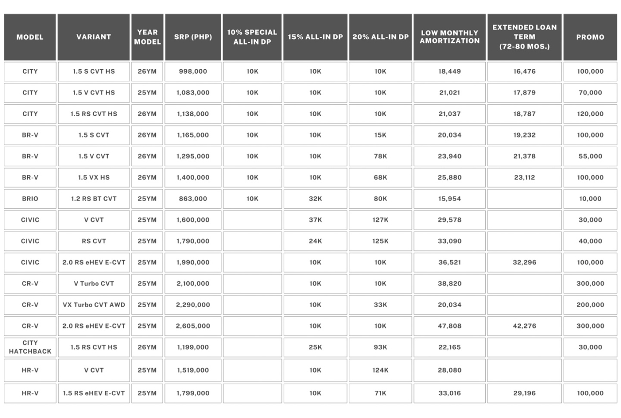
Self-love takes the driver’s seat this February as Honda Cars Philippines, Inc. (HCPI) extends its “Your Best Year Starts Here” campaign.
Recognizing that a great year begins with the right mindset and the right vehicle, HCPI invites customers to discover exclusive offers from February 11 to 28, 2026. Whether for solo adventures or cherished moments with family or friends, HCPI’s latest promotions make it easier than ever to own the drive of one’s dreams.
Leading the lineup of exciting offers is one of the country’s most beloved sedans. For those looking for a fuel-efficient yet sporty sedan daily driver, the City 1.5 S CVT Honda SENSING (26YM) stands as the perfect choice. This variant is currently available with a significant PHP 100,000 discount off its SRP. Alternatively, customers can take advantage of a PHP 10,000 all-in downpayment (based on a 20% financing option), making high-quality, safe, and reliable mobility more attainable than ever.

→ Learn more about the new Honda City with 4 variants
For those whose lifestyle calls for the versatility of a 7-seater SUV, the BR-V 1.5 S CVT (26YM) would be a standout choice. Perfect for family outings or weekend getaways, this model is currently offered with a PHP100,000 cash discount. HCPI also provides a flexible path to ownership with a PHP10,000 all-in downpayment (based on 15% financing option), ensuring that comfort and space are well within reach for Filipino families.

→ Learn more about the new Honda BR-V with 4 variants
On top of these special promos for the BR-V, customers can enjoy Free 1-Year Periodic Maintenance Service (PMS) or additional PHP15,000 cash discount, depending on the BR-V unit purchased:

Meanwhile, customers who value sophisticated style, comfort and convenience in their daily drive can relish the experience of the HR-V 1.5 RS e:HEV E-CVT (25YM). Retailing for PHP 1,799,000, this advanced hybrid model is available with a PHP 100,000 discount throughout the month. It serves as an ideal reward for those looking to combine premium aesthetics with the efficiency of Honda’s e:HEV technology.

→ Learn more about the new Honda HR-V with 3 variants
Beyond these highlights, Honda’s commitment to providing the right vehicle for every journey extends across its entire lineup. Other powerful and dependable models such as the Honda CR-V (25YM), Civic (25YM), and City Hatchback (26YM), are also available with hefty special offers and flexible financing terms this month:

Continuously offering flexible ways to own a Honda, HCPI extends its Drive Today, Pay Later until March 31, 2026. This promotion allows customers to avail up to two (2) months of free amortization through participating bank partners – BPI and RCBC. This offer is inclusive of the all-in package* and applicable only through 15% or 20% all-in low cash-out financing scheme of over five (5) years or sixty (60) months.

Related Posts

VinFast giving trade-in discounts for vehicle owners switching from ICE to EV
Get 3%; discount when you trade in your gasoline-powered vehicle to electric

Hyundai offers up to PHP 230K cash discount on pre-facelift Stargazer this March
Hyundai Motor PH sales promo for pre-facelift Stargazer runs until March 31, 2026

Honda PH offers extra discounts, free PMS in latest March sales promo
Honda Cars PH "Dash and Drive" promo runs from March 17-22, 2026

Honda Cars PH announces sales promo for March 2026
Honda Cars Philippines offers summertime savings with March sales promo

Nissan offers PHP 290K cash discount on Kicks e-Power this weekend
Nissan "Always Daring" weekend sales event runs March 12-15, 2026

Geely announces pre-orders, sales promo for 2026 EX5 PHEV
Geely Motor Philippines has opened reservations for 2026 EX5 EM-I PHEV with two variants